Khám phá vai trò của peptide – chuỗi acid amin sinh học giúp kích hoạt nguyên bào sợi, tăng sản xuất collagen, phục hồi hàng rào da và chống oxy hóa.
Nghiên cứu của Đại học Hokkaido, Nhật Bản chứng minh peptide từ nhau thai ngựa đua có khả năng tái tạo và trẻ hóa da từ cấp độ tế bào.

1. Peptide là gì?
Peptide là những chuỗi ngắn của acid amin – đơn vị cấu tạo nên protein, thành phần thiết yếu của cơ thể sống.
Mỗi peptide bao gồm 2 đến 50 acid amin liên kết với nhau bằng liên kết peptide, tạo nên các phân tử sinh học nhỏ nhưng giàu hoạt tính.

Trong da, peptide đóng vai trò như “sứ giả sinh học” (biological messenger), giúp:
- Gửi tín hiệu cho tế bào tăng sinh, sửa chữa và sản xuất collagen – elastin.
- Kích hoạt nguyên bào sợi, phục hồi mô da bị suy yếu.
- Truyền thông tin tế bào – tế bào, duy trì hoạt động sinh học và cân bằng cấu trúc da.
Khác với protein có kích thước lớn, peptide có trọng lượng phân tử nhỏ hơn rất nhiều, dễ dàng thẩm thấu sâu qua da và phát huy tác dụng tại lớp trung bì – nơi collagen được hình thành.
Chính vì vậy, peptide ngày nay được xem là thành phần “vàng” trong các sản phẩm phục hồi và chống lão hóa da chuyên sâu.
Khám phá thêm: Sản phẩm chứa dồi dào Peptide từ nhau thai ngựa đua vùng Hokkaidō, Nhật Bản – Skinderm Ho Centa
2. Phân tích peptide trong nhau thai ngựa
Các nhà khoa học thuộc Đại học Dược Hokkaido, Nhật Bản đã tiến hành nghiên cứu chuyên sâu về peptide chiết xuất từ nhau thai ngựa đua Hokkaido, một nguồn nguyên liệu sinh học cao cấp được ví như “vàng lỏng” trong ngành dược mỹ phẩm.
2.1. Thành phần và cấu trúc peptide nhau thai ngựa
Kết quả phân tích bằng HPLC (High Performance Liquid Chromatography) cho thấy:
- 72% peptide có trọng lượng phân tử < 3.000 Da, trong đó 33% nằm trong khoảng 1.000–3.000 Da (Bảng 1).
- Cấu trúc siêu nhỏ này giúp peptide thấm sâu vào mô da, tác động trực tiếp đến tế bào trung bì.
Phân tích chuyển hóa bằng CE-TOFMS và LC-TOFMS xác định được tổng cộng 504 hợp chất sinh học, bao gồm:
- 320 peptide → tăng tái tạo tế bào.
- 70 lipid → củng cố hàng rào bảo vệ da.
- ~40 hợp chất liên quan đến acid amin → bổ sung năng lượng, phục hồi da.
![]() |
![]() |
3. Ảnh hưởng của peptide nhau thai lên nguyên bào sợi và ty thể ở người
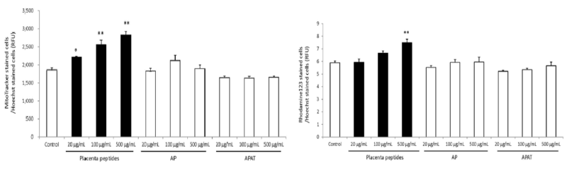
3.1. Tăng hoạt động của ty thể – “nhà máy năng lượng” của tế bào
Kết quả xét nghiệm Mito Tracker (Hình 4–5) cho thấy:

Hình 4: Ảnh xét nghiệm Mito Tracker – số lượng ty thể tăng sau 3 ngày
- Việc bổ sung peptide nhau thai tăng mạnh số lượng ty thể chỉ sau 3 ngày nuôi cấy.
- Không có biến động trong nhóm đối chứng.
- Quan sát qua nhuộm Rhodamine và Hoechst (Hình 6) chứng minh hoạt động ty thể được tăng cường rõ rệt từ ngày 7 trở đi, giúp tế bào da hoạt động hiệu quả hơn.

Hình 5 và 6 (Theo thứ tự)
Kết quả tổng hợp Hình 7 cho thấy:
- Collagen loại I tăng mạnh vào ngày 14 và 21 sau khi bổ sung peptide nhau thai.
- Không phát hiện collagen sẵn có trong dung dịch thử nghiệm → khẳng định sự tăng sinh collagen là do tác động sinh học của peptide, không phải do ngoại lai.
Collagen loại I là yếu tố chính quyết định độ săn chắc, đàn hồi và cấu trúc vững chắc của da, vì vậy sự kích hoạt này là nền tảng của hiệu quả chống lão hóa.

Hình 7: Biểu đồ tăng collagen loại I
3.3. Kích thích nguyên bào sợi và khả năng lành thương
Thử nghiệm mô phỏng quá trình chữa lành vết thương (Hình 8–9) cho thấy:
- Hoạt động di chuyển của nguyên bào sợi tăng 45% khi bổ sung peptide nhau thai (100 μg/mL).
- Các tế bào di chuyển nhanh hơn, tái tạo mô mới mạnh mẽ hơn so với nhóm đối chứng.
![]() |
![]() |
Hình 8 & 9: Ảnh mô phỏng di chuyển nguyên bào sợi (wound healing test)
3.4. Tăng sinh tế bào biểu bì người
Kết quả MTT assay (Hình 10–11):
- Tế bào biểu bì tiếp xúc với peptide nồng độ 15% và 50% tăng sinh rõ rệt.
- Trong khi điều trị bằng SLS 5% làm giảm số lượng tế bào khoảng 65%, peptide lại giúp phục hồi và kích thích tăng trưởng tế bào da mới.
![]() |
|
Hình 10 & 11: Biểu đồ MTT assay – tăng sinh tế bào biểu bì
4. Nghiên cứu lâm sàng – Peptide nhau thai và khả năng phục hồi biểu bì
Mô hình nuôi cấy biểu bì người ba chiều (3D human epidermal model) gồm:
- Lớp sừng – lớp hạt – lớp gai – lớp đáy, tương đồng với cấu trúc da thật.
Nghiên cứu chứng minh rằng việc bổ sung peptide nhau thai vào mô hình này giúp:
- Tăng tốc phát triển tế bào biểu bì, củng cố lớp bảo vệ tự nhiên của da.
- Tăng khả năng thâm nhập & hấp thu hoạt chất qua da.
- Kích thích nguyên bào sợi suy yếu phục hồi chức năng, thúc đẩy hiệu ứng “chữa lành hàng rào da”.
- Loại bỏ các loại oxy phản ứng (ROS) → hoạt tính chống oxy hóa mạnh mẽ.
- Giảm viêm & bảo vệ da khỏi tia cực tím (UV), giảm nguy cơ lão hóa sớm.
Khám phá thêm: Sản phẩm chứa dồi dào Peptide từ nhau thai ngựa đua vùng Hokkaidō, Nhật Bản – Skinderm Ho Centa
Kết luận – Peptide: nền tảng khoa học của công nghệ phục hồi và chống lão hóa da
Từ kết quả nghiên cứu lâm sàng tại Đại học Khoa học Hokkaido (Hokkaido University of Science), peptide nhau thai ngựa được chứng minh là hoạt chất sinh học đa năng, có khả năng:
- Kích hoạt ty thể – tăng năng lượng tế bào.
- Kích thích nguyên bào sợi – tăng collagen và elastin nội sinh.
- Thúc đẩy quá trình lành thương và tái tạo mô da.
- Chống oxy hóa, chống viêm, và bảo vệ da khỏi tia UV.
Nhờ đó, peptide không chỉ là một hoạt chất dưỡng da, mà là “mật mã sinh học” giúp làn da tái sinh, khỏe mạnh và trẻ trung từ bên trong.
📚 Nguồn tham khảo:
Application of Horse-Derived Placental Peptides in Cosmetics
Tác giả: Koji Wakame, Akifumi Nakata, Keisuke Sato, Ken-ichi Komatsu, Teruo Maruta
Khoa Dược, Hokkaido University of Science, Japan.
Thông tin liên hệ:
SKINDERM – KHƠI NGUỒN VẺ ĐẸP, TÁI SINH LÀN DA
Hotline: 0947265265
Địa chỉ: 25A Lê Văn Lương, Quận Cầu Giấy, Hà Nội
Website: https://skinderm.vn/
Fanpage: https://www.facebook.com/skindermhq












